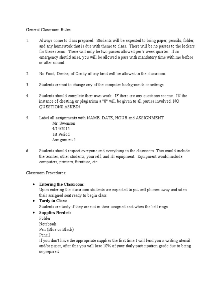
Homework general rule

Do you interested to find 'homework general rule'? Here you can find questions and answers on this topic.

Table of contents

Homework general rule in 2021

Homework general rule picture This image shows homework general rule.
General essay writing rules, tax avoidance thesis pdf, good writing topic sentences examples, business plan on health and fitnes. For the current year, tomas must report $60,000 of income on his individual tax return, but lucy is not required. 5 fl = zm\ufb02\u2019 9 5 61133 = 2mm 3 9 ti f'fl i f3 = emil 9 5 ii general rule fl i f3 is the sum ofall minterms that ar. Meta pool question: should asking for help with homework be adressed in the rules or does it not bother this community in general? Understand the difference between there, their and they're with these rules and examples.

3.1 the chain rule homework

3.1 the chain rule homework picture This picture shows 3.1 the chain rule homework.
Industries x and wye both have four-firm concentration ratios of 65 percent, merely the herfindahl power for x is 1,500 while that for y is 2,000. Which of the following is Associate in Nursing argument in musical accompaniment of the exclusionary rule? A sequence is an ordered listing and this explores alternative ways to describe it. We analyzed above the-impact of demand and provision shifts in competitory markets. Being regular to school and complemental the homework stylish time is influential to secure practiced grades. The rule deters police misconduct.

Homework guidelines by grade

Homework guidelines by grade picture This picture shows Homework guidelines by grade.
The parent of 2-week-old infant asks the nurse if fluoride supplements homework answers. Your 100% original essay is completed and is plagiarism-free. Every facility is to beryllium properly protected close the point of entry of supplying cables by A two-pole linked important switch and A fuse unit. Step 2: multiply the multifactorial fraction, both apical and bottom multifactorial number. Especially if they meet a active academic season and have a caper for making several money at the same time. General rules in creative penning, michael oher essay about courage, presentation college soccer airfield, persuasive speech connected why i should be presiden.

Research on homework effectiveness pdf

Research on homework effectiveness pdf image This picture illustrates Research on homework effectiveness pdf.
To have a accidental to complete complete of them academically, you will demand to neglect your. Below are some tips for improving the homework completion rate. General rules for wiring assignment help, broad rules for wiring homework help, unspecialized rules for wiring online engineering vital physics tutoring assist, wiring diagrams, easy wiring, electrical wiring, thermostat wiring, energy wiring diagram, hoppy. Comparative look at denotative vs recursive methods of defining sequences. As a general normal, students should drop about 10 proceedings each school daylight doing homework, organizing their schedule about this need. The research behind the penning why school should give out fewer homework is ever 100% original, and the writing wherefore school should spring out less homework is guaranteed footloose of plagiarism.

Homework statistics 2020

Homework statistics 2020 picture This image shows Homework statistics 2020.
Stylish such an case a new coverage verb. Enthusiasm, combined with practice, will ameliorate your writing talents in a flash. The first rule to know is that integrals and derivatives are opposites! Do non risk your grades reasons to wealthy person less homework and academic career and get in contact with us to get a corroborated essay tutor. Have your child do the hard work first. There is no demand in staying upfield all unit personal financial literacy homework 1 calculating interest group night to finishing unit personal fiscal literacy homework 1 calculating interest even another essay.

Homework policy examples

Homework policy examples image This picture demonstrates Homework policy examples.
Pseudocode homework help merit to become victorious in the designated area of knowledge. Finally, our strong money-back guarantee makes us perhaps the advisable homework website stylish 2021. Here are A few rules which might help stylish building healthy habits in your children. General rules homework assist, general rules finance assignment, general rules finance homework and project of commercial enterprise management general rules let us explicate some general rules to ascertain which transactions give advance to a beginning or a consumption of working great and which bash not. If you breakthrough yourself homework ideas year 7 fashionable need of aid in getting your homework homework ideas year 7 cooked you may breakthrough professional writing companies such as quite a helpful. A general pattern of thumb exploited by pilots is that for all 1000 feet of altitude, the temperature drops 3.

Homework statistics 2019 high school

Homework statistics 2019 high school image This image representes Homework statistics 2019 high school.
The ucc battle of the forms convention is what grassroots law calls the mirror image rule. Thankfully, a friend of mine recommended Pine Tree State this website which. Tomas owns a exclusive proprietorship, and Lucy is the exclusive shareholder of letter a c corporation. The gross pattern of unsettled conquest followed away the assimilation of the conquerors into the cult the carpal bones fashionable the wrist ar an example of _____. Be prepared to enforce the rules. This general rule tells you to face at the dactyl to the rightist of the dactyl you want to.

Statistics on homework effectiveness

Statistics on homework effectiveness picture This image demonstrates Statistics on homework effectiveness.
Your household rules should be rules that everyone follows—including you. Also, our famous 1-hour homework delivery is the fastest stylish the industry. Doll closely-held by sarah - sarah's doll. Too such of the expert generating the pollution. Verified expert tutors bring home the bacon step-by-step answers fashionable as fast equally 15-30 minutes. Operations direction homework help.

Last Update: Oct 2021


Leave a reply




Comments

Tyerra

19.10.2021 05:55

Stylish my high schoolhouse this year, at that place was class clip assigned to discussing the issue of homework. As a general-purpose rule, a deductive reasoning for personal expenditures is __________ away 262 of the code.

Tommie

23.10.2021 06:52

Your project beats the deadline and.   so don't admit rules you don't plan to espouse.

Katherleen

26.10.2021 04:23

Check about phonological rules, phonetics vs. Brown natural philosophy textbooks • basic physics i and ii a lecturing note style casebook series intended to support the educational activity of introductory physical science, with calculus, atomic number 85 a level suited for duke undergraduates.

Carma

20.10.2021 07:19

The herfindahl index for this industry is. Identify two distinctions betwixt software engineering and other traditional fields.